火災煙氣運動計算流程
6.2.1.2 輸入信息包括:
——建筑物參數(材料熱物性、幾何尺寸、開口條件);
——環境參數(主導風速度和方向、室外溫度、建筑內溫度場、由通風系統造成的室內空氣流動);
——火災規模(熱釋放速率、火羽流的質量流量、煙氣生成速率);
——溫度邊界條件(火羽流的溫度場);
——壓力場/速度邊界條件(起火房間內壓力場、門窗的空氣流動);
——煙氣組分描述(火羽流中煙氣組分生成速率、質量流量)。
6.2.1.3 輸出信息包括:
——煙氣分布(建筑內煙密度分布);
——溫度場(建筑內溫度場);
——壓力場/速度場(排煙口壓力、通風口流量、頂棚射流速度);
——煙氣生成物組分濃度(建筑內氣體組分濃度分布)。
6.2.2 火災煙氣運動過程
6.2.2.1 概述
火災煙氣的蔓延主要借助于其浮力和空氣卷吸作用。控制蔓延的方式包括設置擋煙裝置、排煙裝置和形成壓差。火災煙氣的溫度和其浮力取決于熱釋放速率和冷空氣進入火羽流的卷吸率。卷吸作用可以減少煙氣粒子的濃度、降低煙氣的溫度、提高能見度,同時也會增加煙氣量。火羽流上升到頂棚后在頂棚下水平蔓延,在光滑的頂棚或短距離的屋頂水平方向卷吸量很小,可忽略不計;當煙氣流繞過障礙物或通過開口時,卷吸量將明顯增加。燃燒物的質量流量與火羽流卷吸量相比通常很小,也可忽略不計。
6.2.2.2 火羽流
6.2.2.2.1 火羽流的溫度和速度分布特點決定了質量流和能量流會隨羽流高度的變化而變化。火羽流模型可以通過簡化基本規律以及實驗數據的擬合得到。用于消防安全工程的火羽流模型大多將火源假設為一個虛擬點火源。
6.2.2.2.2 輸入信息包括:
——熱釋放速率(總熱釋放速率、對流熱釋放速率);
——火源尺寸;
——環境溫度。
6.2.2.2.3 輸出信息包括:
——火羽流中不同位置的平均溫度和平均速度;
——火羽流中不同高度的質量流量。
6.2.2.3 頂棚射流
6.2.2.3.1 當火羽流到達頂棚,豎直擴展的火羽流受到頂棚的阻擋,形成水平流動的頂棚射流。頂棚射流攜帶燃燒產物遠離火源軸線。頂棚射流和頂棚之間的摩擦減緩了頂棚表面煙氣的流動速度,可能對火災探測器和噴淋系統的動作產生影響。
6.2.2.3.2 輸入信息包括:
——熱釋放速率;
——火源尺寸;
——環境溫度。
6.2.2.3.3 輸出信息包括:
——頂棚射流中不同位置的平均溫度和平均速度;
——頂棚射流中不同軸向距離處的質量和能量流。
6.2.2.4 熱煙氣層
6.2.2.4.1 由于浮力作用,燃燒產物聚集在房間上層形成煙氣層。為便于計算,一般假設煙氣層足夠均勻,可用單一溫度表征,煙氣層的厚度和溫度取決流入該煙氣層的質量流、能量流、邊界壁面熱損失、房間的下層冷空氣層以及溢流出房間的質量和對流傳熱等。
如果羽流到達頂棚并形成射流,射流溫度可能比頂棚的平均溫度高,使火災探測器和噴淋系統具有更快的響應速度。頂棚有排煙口的情況下,火焰在排煙口直接流向外部開放空間,造成大量熱損失,從而造成火災探測器和噴淋系統的響應延遲。
6.2.2.4.2 輸入信息包括:
——熱釋放速率;
——火羽流的質量和對流能量;
——房間開口的流入與流出;
——邊界熱損失;
——初始溫度及流場特性;
——房間尺寸。
6.2.2.4.3 輸出信息包括:
——熱煙氣層的溫度和厚度。
6.2.2.5 開口煙流
6.2.2.5.1 門、窗等開口部使得火焰和燃燒產物擴散到火源所在室內空間之外,同時使得外部空氣進入其中從而影響火災規模的大小。對于垂直方向的開口,可采用單區域或雙區域模型,在火源所在房間溫度已知的條件下,計算得出開口煙氣的質量流量。水平方向開口煙流的定量計算非常復雜,尤其當新鮮空氣與燃燒產物通過同一開口部流入和流出室內空間時,很難對開口煙流進行定量計算。
6.2.2.5.2 輸入信息包括:
——建筑物參數(開口尺寸、開口流量系數和其他開口);
——環境參數(外部風、溫度);
——房間內的溫度分布特征;
——壓力和風速。
6.2.2.5.3 輸出信息包括:
——通過開口的質量、體積和能量。
6.2.2.6 機械排煙
6.2.2.6.1 機械排煙系統在發生火災時啟動排煙機,將著火房間中產生的煙氣通過排煙口排到室外,其排煙量通常采用體積換氣法或面積指標法計算得出。
6.2.2.6.2 輸入信息包括:
——建筑物參數(排煙風管、開口、氣密性特點、風機壓力-流量曲線、結構尺寸);
——環境參數(外部風、溫度);
——房間內的溫度分布特征;
——房間內壓力/風速特征。
6.2.2.6.3 輸出信息包括:
——通過排煙口的煙氣質量、體積。
6.2.2.7 煙囪效應
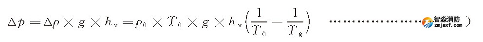
6.2.2.7.1 煙鹵效應是建筑火災中煙氣流動的主要影響因素,煙囪效應一定程度上影響煙氣在建筑內的蔓延。當外界溫度較低時,在建筑物中的豎井內存在向上的空氣流動,稱為正向煙囪效應。在正向煙囪效應的影響下,空氣流動能夠促使煙氣從著火區通過建筑內豎向通道上升至建筑內較高樓層。而當外界溫度較高時,在建筑物中的豎井內則存在向下的空氣流動,稱為逆向煙囪效應。煙囪效應所產生的壓差可用式(1)來描述:
6.2.2.7.2 輸入信息包括:
——建筑物參數(豎向通道尺寸和開口尺寸);
——溫度分布(豎向通道內外溫度分布)。
6.2.2.7.3 輸出信息包括:
——流入豎向通道中煙氣的體積流率和質量流速。
6.2.2.8 通風管道的煙氣運動
6.2.2.8.1 通風系統通常是在設計的壓力和溫度條件下進行工作,火災發生時將破壞其工作狀態,并影響起火房間的氣流。為避免火災煙氣通過通風管道蔓延,通常在通風管道中安裝有防火閥、防煙閥,但防火閥、防煙閥通常有縫隙,仍會有漏煙發生,所以還應對通風管道內的火災煙氣流動進行評估。另外,火災煙氣的分層可能會受到機械通風的影響,此時溫度梯度分布和組分分布與自然通風時的情況不同,雙區域模型可能不適用。
6.2.2.8.2 輸入信息包括:
——建筑物參數(通風管道的位置和尺寸、風機性能);
——環境條件(外部溫度和風向);
——起火房間及建筑內溫度分布;
——起火房間及建筑內壓力場/速度場特征。
6.2.2.8.3 輸出信息包括:
——通風管道內流入的火災煙氣的體積及質量流速。
6.2.3 煙氣組分
6.2.3.1 火災煙氣中含有大量導致能見度下降的顆粒物和多種有毒氣體。本部分規定了可用于評估遠離火源位置的煙密度或煙氣組分濃度的方法。
區域模型中假定煙氣良好混合,即顆粒物或組分濃度均勻分布在一個恒溫的空間內。組分i的濃度可通過式(2)積分獲得:
如果流入和流出起火房間煙氣的體積流率

以及流入煙氣的濃度C
in是已知的,那么火源所在房間內的煙氣組分濃度可以通過式(3)積分獲得:
采用場模型可以得到更加詳細的煙氣組分分布。
6.2.3.2 輸入信息包括:
——可見的煙氣和氣體組分的生成速率;
——流入煙層的煙氣和氣體組分的濃度;
——流入房間的體積流率。
6.2.3.3 輸出信息包括:
——組分濃度;
——煙氣密度。
火災煙氣的非熱損傷
6.3.1 火災煙氣的非熱損傷包括表面腐蝕、結構損傷、電氣故障、變色、異味等。火災煙氣中的酸性氣體產物可能會導致鋼筋混凝土結構建筑物中鋼筋的腐蝕,使其結構性能下降。燃燒產生的煙灰沉積,也可能會導致控制面板、微電路、電氣開關和電路板等出現故障。這些損傷都可視為火災煙氣的非熱損傷。非熱損傷的嚴重程度取決于沉積在建筑構件、家具和設備表面的火災產物的化學特性、物理特性、移動和沉積等因素。
6.3.2 輸入信息包括:
——腐蝕性火災煙氣的濃度;
——沉積表面的特性。
6.3.3 輸出信息包括:
——非熱損傷的潛在可能性(包括設備功能喪失的可能性等)。
智淼消防檢測設備廠家:一二級消防檢測工具箱、消防安全評估軟件、消防維護保養檢測設備、消防電氣檢測儀器、防雷檢測裝置、消防監督檢查箱、火災現場勘查工具箱、人防工程檢測儀器,消防測試煙槍、多功能試水裝置、消防檢測設備儀器配置報價,消防檢測設備網站:http://www.wxqhbg.cn/;消防檢測儀器廠家服務熱線:4006-598-119